三角函數看似很多,很復雜,但只要掌握了三角函數的本質及內部規律就會發現三角函數各個公式之間有強大的聯系。下面是小編整理的三角函數極限公式大全,供大家參考。
1.極限的概念


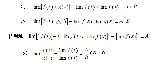
2.極限運算法則(設limf(x)=A,limg(x)=B)

3.幾個常用極限(a>0,a不等于1)

4.求極限時常用到的三角函數公式
倒數關系:
tanα·cotα=1
sinα·cscα=1
cosα·secα=1
商的關系:
sinα/cosα=tanα=secα/cscα
cosα/sinα=cotα=cscα/secα
平方關系:
sin^2(α)+cos^2(α)=1
1+tan^2(α)=sec^2(α)
1+cot^2(α)=csc^2(α)
二倍角公式
二倍角的正弦、余弦和正切公式(升冪縮角公式)
sin2α=2sinαcosα
cos2α=cos^2(α)-sin^2(α)=2cos^2(α)-1=1-2sin^2(α)
tan2α=2tanα/[1-tan^2(α)]
半角公式
半角的正弦、余弦和正切公式(降冪擴角公式)
sin^2(α/2)=(1-cosα)/2
cos^2(α/2)=(1+cosα)/2
tan^2(α/2)=(1-cosα)/(1+cosα)
另也有tan(α/2)=(1-cosα)/sinα=sinα/(1+cosα)萬能公式
萬能公式
sinα=2tan(α/2)/[1+tan^2(α/2)]
cosα=[1-tan^2(α/2)]/[1+tan^2(α/2)]
tanα=2tan(α/2)/[1-tan^2(α/2)]
三角函數的和差化積公式:
sinα+sinβ=2sin[(α+β)/2]·cos[(α-β)/2]
sinα-sinβ=2cos[(α+β)/2]·sin[(α-β)/2]
cosα+cosβ=2cos[(α+β)/2]·cos[(α-β)/2]
cosα-cosβ=-2sin[(α+β)/2]·sin[(α-β)/2]
三角函數的積化和差公式
sinα·cosβ=0.5[sin(α+β)+sin(α-β)]
cosα·sinβ=0.5[sin(α+β)-sin(α-β)]
cosα·cosβ=0.5[cos(α+β)+cos(α-β)]
sinα·sinβ=-0.5[cos(α+β)-cos(α-β)]
